Fungsi Eksponen – The Concept of Exponent

Definisi: Fungsi eksponensial f dengan basis a dinotasikan dengan  f( x) =a^{x}  dimana   $\displaystyle a >0,\ a\neq 1$ , dan x merupakan sebarang bilangan real

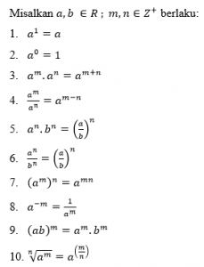
Sifat-sifat eksponen:

untuk lebih memahami materi silahkan lihat video berikut:

latihan soal:

Visited 1,041 times, 1 visit(s) today
Yeni Rohma Yanti, M.Pd
Yeni Rohma Yanti, M.Pd

Translate

TRENDING

Show Buttons
Hide Buttons