Persamaan umum lingkaran

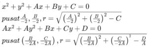
Persamaan umum lingkaran sebenarnya diperoleh dari penjabaran persamaan lingkaran yang berpusat pada (a,b). Sehingga kalian tidak perlu banyak menghafal rumus pada materi ini. Persamaan umum lingkaran terdapat dua bentuk yakni:

untuk lebih jelas tentang cara penggunaan rumus silahkan simak video berikut ini:

selain itu materi yang akan kita bahas adalah tentang jarak sebuah titik terhadap lingkaran, yang mana ada yang berjarak 0, meniliki jarak terdekat, dan ada juga yang memiliki jarak terjauh. Lebih jelas lihat penjelasan materi beriku ini:

Visited 72 times, 1 visit(s) today
Yeni Rohma Yanti, M.Pd
Yeni Rohma Yanti, M.Pd

No Comments

Write a Reply or Comment

Your email address will not be published. Required fields are marked *


This site uses Akismet to reduce spam. Learn how your comment data is processed.

Translate

TRENDING

Show Buttons
Hide Buttons